| Förderhöhe | 
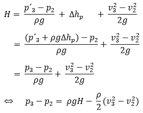
| Förderhöhe  Die Förderhöhe H ist definiert als     Für die Ermittlung des Schnittpunktes von Anlagenkennlinie und Pumpenkennlinie ist es zweckmäßig, den statischen Pumpendruck p´3 (statischer Druck am Druckstutzen) auf die Höhenlage der Saugachse zu beziehen. Der so berechnete statische Druck p3 korrespondiert mit dem statischen Druck aus der Berechnung der Anlagenkennlinie. Die Differenz der statischen Drücke (p3-p2) lässt sich auf diesem Weg ohne Kenntnis der Höhendifferenz von Saug- und Druckstutzen Δhp berechnen. 
 |