Rohrisolierung   


Rohrisolierung und Wärmeverlust




insulation scheme
x: Rohrlänge
s: Rohrwand, Isolierung
d: Durchmesser
r: Radius
v: Luftgeschwindigkeit
ρ: Dichte
V : Volumenstrom
T: Temperatur im Medium
cp: Wärmekapazität
λ: Wärmeleitfähigkeit
α r: Wärmeübergangskoeffizient Strahlung
α 4: Wärmeübergangskoeffizient Konvektion
qp: Wärmestrom je Längeneinheit

Stationärer Fall

Das Rohr wird turbulent durchströmt. Die Temperatur ändert sich im Medium nur mit der Koordinate x, in Rohrwand und Isolierung mit x und r. Der Wärmeübergang innen ist so gut, dass die Rohrinnenwand die Temperatur des Mediums annimmt (α 1 => ∞, T = T1).

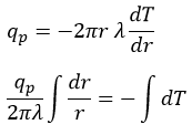
Die Enthalpieänderung des Mediums von x nach (x+dx) entspricht dem radialen Wärmestrom (qp·dx) in der Rohrscheibe dx:

Wärmebilanz   qp > 0: abkühlen
qp < 0: erwärmen

Der Wärmestrom je Längeneinheit qp an der Stelle x hängt ab von der Geometrie (d, s1, s2), den Betriebswärmeleitfähigkeiten von Rohrwand und Isolierung (λ1, λ2), dem äusseren Wärmeübergang durch Strahlung und Konvektion (αr, α4) sowie der Temperaturdifferenz zwischen Medium und Umgebung (T-T4):

qp=f(Ul,T,T4)

Ul : Wärmedurchgangskoeffizient je Längeneinheit

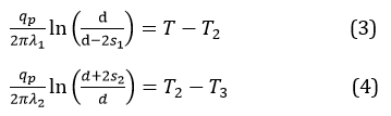
Die Temperaturdifferenzen (T-T2), (T2-T3) und (T3-T4) lassen sich aus den Ansätzen für Wärmeleitung und äusseren Wärmeübergang herleiten. Dabei ist die längenbezogene Wärmestromdichte qp in allen 3 Abschnitten (Rohrwand, Isolierung, Aussenbereich) gleich, da weder Rohrwand noch Isolierung Wärme aufnehmen oder abgeben (Temperaturverteilung ändert sich nicht mit der Zeit).

Wärmeleitung   Äusserer Wärmebergang
(Konvektion und Strahlung)
Wärmeleitung Teil1 Äusserer Wärmeübergang Teil1
Wärmeleitung Teil2 Äusserer Wärmeübergang Teil2



Nach [DIN EN ISO 12241, Seiten 17-19] gilt folgender Formelsatz für freie Konvektion mit x, d, s [m], α4 [W/(m² K)]. Laminare Strömung dominiert bei horizontalen Rohren, turbulente Strömung bei senkrechten Rohren.

vertikale Leitung horizontale Leitung
laminar x³ |T4-T3| <=10 [m³ K] alpha4_vert_lam
(d+2s2)³ |T4-T3| <=10 [m³ K] alpha4_hor_lam
turbulent alpha4_vert_turb alpha4_hor_turb


Nach [DIN EN ISO 12241, Seiten 17-19] gelten für erzwungene Konvektion folgende Formeln mit v [m/s], d,s [m], α4 [W/(m² K)] :

vertikale Leitung und horizontale Leitung
laminar v (d+2s2) <= 0.00855 [m/s²] alpha4_erzw_lam
turbulent alpha4_erzw_turb


Nach [DIN EN ISO 12241, Seiten 17-20] wird der Strahlungsanteil wie folgt berechnet:

alphar
ε: Emissionsgrad [-]     σ: Stefan-Boltzmann-Konstante 5.67 x 10-8 [W/(m² K4)]     T3, T4 [K]



Oberflächeε [-]
Alu blank0.05
Alu oxidiert0.13
Verzinktes Blech blank0.26
Verzinktes Blech verstaubt0.44
nicht metallisch0.94



Setzt man Gleichungen (3), (4) und (5) in Gleichung (2) ein, erhält man den Wärmedurchgangskoeffizienten je Längeneinheit:

u_l


Rohrhalterungen, Armaturen und Flansche erhöhen den Wärmedurchgangskoeffizienten einer Rohrleitungsanlage. Um welchen Betrag Ul zu erhöhen ist zeigen [DIN EN ISO 12241, Seiten 35-37, 40-41] und [VDI 2055, Seiten 35-37, 150-153] . Fällt die erste Halterung nicht ins Gewicht, wird der Wärmestrom der Rohrhalter von Rohrsystemen mit einer Stützweite von 1 Meter bei Innenaufstellung mit einem Zuschlag von 15%, bei Aussenaufstellung mit einem Zuschlag von 25% erfasst. Wie sich diese Empfehlung mit wachsender Stützweite entwickelt, zeigt die folgende Tabelle:
 
Stützweite [m] 11.522.5 33.544.5 5
Innenaufstellung 15107.56 54.33.83.3 3
Aussenaufstellung 2516.712.510 8.37.16.35.6 5

Zuschlag [%] zu Ul für Rohrhalterungen bei Vernachlässigung der ersten Halterung

Möchte man auch den ersten Halter berücksichtigen, müssen die Tabellenwerte bei 2 Haltern mit 2/1=2 multipliziert werden, bei drei Haltern mit 3/2=1.5, bei vier Haltern mit 4/3=1.333, bei fünf Haltern mit 5/4=1.2 usw.

Beispiel: Stützweite 2[m], 10 Stützen, Aussenaufstellung:
Zuschlagswert für anlagenbedingte Wärmebrücken = 10/9 x 12.5 = 13,9%



Der Wärmedurchganskoeffizient für den Zylinder ergibt sich zu

u_ul

Setzt man Gleichung (2) in Gleichung (1) ein, so erhält man mit Gleichung (7) die Beziehung der Temperaturentwicklung entlang der Rohrachse:

teta1

Der Wärmedurchgangskoeffizient Ul und die Oberflächentemperatur T3 werden an jeder Stützstelle (x = 0, x = x1, x = x2) neu berechnet.

Tauwasserbildung an der Oberfläche tritt ein, wenn das Medium kälter ist als die Umgebung und der Wasserdampfpartialdruck der Luft dem Sättigungsdruck bei Oberflächentemperatur entspricht. Dampfsperrschichten (Alufolie) minimieren Tauwasserbildung in der Isolierung bis hin zur Rohroberfläche.



Instationärer Fall

Kommt der Durchfluss zum Erliegen, stellt sich in jeder Rohrscheibe dx eine instationäre Temperaturänderung ein. Vernachlässigt man die axiale Wärmeleitung und die Wärmekapazität von Rohrwand und Isolierung, so kann man schreiben:

instationär


Es wird vorausgesetzt, dass sich im Medium kein Phasenwechsel einstellt. Der Wärmedurchgangskoeffizient Ul und die Oberflächentemperatur T3 werden berechnet für die folgenden Stützstellen

teta2


Literatur
[DIN EN ISO 12241] DIN EN ISO 12241:2008-11 Thermal insulation for building equipment and industrial installations - Calculation rules (ISO 12241:2008); German version EN ISO 12241:2008
[VDI 2055] VDI 2055 July 1994 Thermal Insulation for Heated and Refrigerated Industrial and Domestic Installations, Verein Deutscher Ingenieure - Calculations, Guarantees, Measuring and Testing Methods, Quality Assurance, Supply Conditions


Home | Berechnungsprogramme | Download | Upload | Stoffdaten und Theorie | Literatur | Links | Umrechner | Nutzungsbedingungen | Impressum